【刷题】删除排序链表中的重复元素 II
Offer 驾到,掘友接招!我正在参与2022春招打卡活动,点击查看活动详情。
春招打卡第19天第23篇。
勤学似春起之苗,不见其增,日有所长;辍学如磨刀之石,不见其损,日有所亏。
掘金的活动真多哇,这个月决定每天用go刷题,一方面提升一下算法水平,另一方面沉淀一下go语言的学习。
Let's GO!
题目描述
给定一个已排序的链表的头 head , 删除原始链表中所有重复数字的节点,只留下不同的数字 。返回 已排序的链表 。
示例
示例 1:
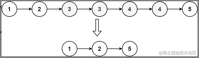
输入:head = [1,2,3,3,4,4,5]
输出:[1,2,5]
示例 2:
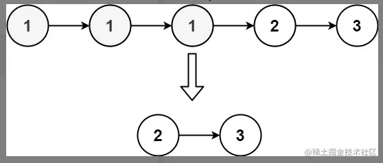
输入:head = [1,1,1,2,3]
输出:[2,3]
提示:
链表中节点数目在范围 [0, 300] 内
-100 <= Node.val <= 100
题目数据保证链表已经按升序 排列
解题思路
这道题和之前那篇删除排序链表中的重复元素 相比,上一道题是会保留一个想用的元素,这道题是会把相同元素全部移除,只保留出现一次的元素
整体的解题思路是一致的。
代码逻辑
- 首先进行为空判断
- 进行重复值判断,如果相邻的两个元素一致,则把这两个元素都移除;
- 如果相邻的两个元素不一致,则继续遍历后面的元素,重复步骤2的判断即可。
AC代码
go
func deleteDuplicates(head *ListNode) *ListNode { if head == nil { return head } if head.Next != nil && head.Val == head.Next.Val{ for head!=nil&&head.Next !=nil && head.Val == head.Next.Val{ head = head.Next } return deleteDuplicates(head.Next) }else { head.Next = deleteDuplicates(head.Next) } return head }运行结果
总结
内存消耗上大败了100%的用户,空间复杂度为O(1) 时间复杂度为O(n),n为列表长度。
来源说明
来源:力扣(LeetCode)
链接:leetcode-cn.com/problems/re…
著作权归领扣网络所有。商业转载请联系官方授权,非商业转载请注明出处。
最后
感谢阅读,欢迎大家三连:点赞、收藏、投币(关注)!!!
